Computing
RMIT BiG Day In

Computing
RMIT BiG Day In
Andrew Belegrinos
Teacher of Software Development & Maths
The BiG Day In™ is an IT careers conference designed by students for students (both secondary school Years 9-12 and university) who are interested in careers in technology. It aims to connect students with entrepreneurs and companies who have proven 'real world' experience.


The RMIT hosted event was attended by both current and future Preshil Software Development & Computer Science students to discover more about the kinds of skills and application areas they may look to move into, as well as ways to engage industry early in their careers.
Through interactive presentations, demonstrations and competitions, tech gurus and business people alike from companies such as Microsoft, CSIRO, Adobe, IBM, Westpac and WiseTech Global discussed the different types of technology their companies worked with, how they built their careers and how students may kick-start their own. The event supported students to establish a better sense of the information technology sector as a whole and draw important connections between the classroom and specific IT industries.


Last week Matthew Potts, Alaister O'Donnell-Young and Samuel Hoch competed in the UNSW nationwide programming competition. The UNSW ProgComp is the largest high school programming competition in Australia, with teams from every state, the ACT and NT competing. The competition presented students with questions challenging not only their programming skills but also problem-solving abilities, as an example:
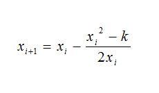
The first consumer calculators provided four arithmetic operators and square root, the latter using an iteractive algorithm based on the Newton-Raphson method for finding roots of equations. To determine the square root of a positive real number k, given any approximation xi > 0 calculate


to obtain a value closer to the root. Keep applying the formula to obtain better approximations. Stop when successive approximations differ by 1e–10. Write a programme that calculates the square root of a number read from input. The initial approximation can be 1 or k, as the algorithm converges quite quickly.
This is a very challenging competition which pushes the discipline out beyond what is studied at VCE level. Well done to our students who rose to the occasion.